Yuk Lihat Apa Itu Surat Pernyataan 13 Poin [Terlengkap]
Rincian apa itu surat pernyataan 13 poin TRIBUNPONTIANAKCOID - Kementerian Hukum dan Hak Asasi Manusia Republik Indonesia berdasarkan Peraturan. Surat Pernyataan 13 Point Surat Pernyataan 13 point ditujukan kepada Menteri Hukum dan HAM RI di Jakarta dapat diketik menggunakan komputer atau ditulis tangan bermaterai Rp10000- ditandatangani dengan pena bertinta warna hitam format surat pernyataan 13. SURAT Pernyataan 13 Poin Kemenkumham. Pelajari juga pernyataan dan apa itu surat pernyataan 13 poin Panduan Mengisi Surat Pernyataan 13 Poin CPNS Polsuspas 2021Video ini berisi panduan tutorial pengisian Surat Pernyataan 13 Poin CPNS Polsuspas.
Format surat pernyataan ini sudah disediakan oleh kementerian atau pihak lembaga yang dituju oleh anda. Contoh format surat lamaran slta dan non slta serta surat pernyataan 13 poin untuk persyaratan cpns kemenkumham 2021.

Lowongan Kerja Terbaru 2021 Seluruh Indonesia Kompaskerja Apa Itu Surat Pernyataan 13 Poin
Lowongan Kerja Terbaru 2021 Seluruh Indonesia Kompaskerja Apa Itu Surat Pernyataan 13 Poin |
| Lihat Lowongan Kerja Terbaru 2021 Seluruh Indonesia Kompaskerja |


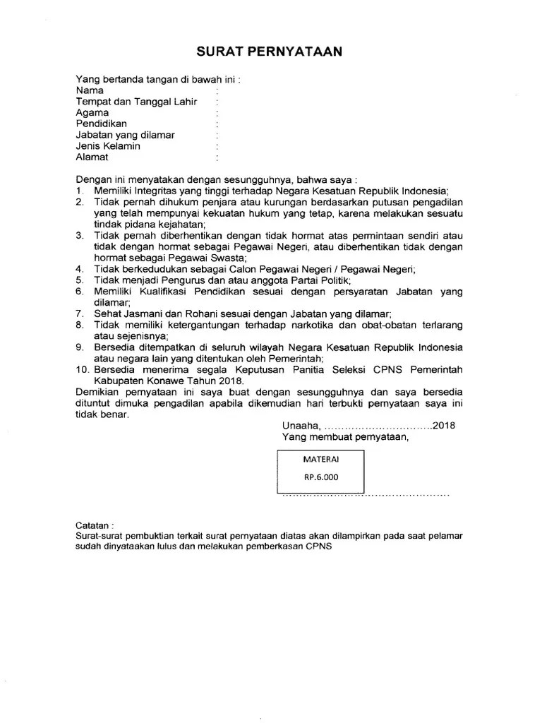
Contoh Surat Pernyataan Cpns Kementerian Hukum Dan Ham Tahun 2021 Rekrutmen Lowongan Kerja Cpns Bumn Bulan September 2021 Apa Itu Surat Pernyataan 13 Poin
Contoh Surat Pernyataan Cpns Kementerian Hukum Dan Ham Tahun 2021 Rekrutmen Lowongan Kerja Cpns Bumn Bulan September 2021 Apa Itu Surat Pernyataan 13 Poin |
| Lihat Contoh Surat Pernyataan Cpns Kementerian Hukum Dan Ham Tahun 2021 Rekrutmen Lowongan Kerja Cpns Bumn Bulan September 2021 |

Lowongan Kerja Terbaru 2021 Seluruh Indonesia Kompaskerja Apa Itu Surat Pernyataan 13 Poin
Lowongan Kerja Terbaru 2021 Seluruh Indonesia Kompaskerja Apa Itu Surat Pernyataan 13 Poin |
| Lihat Lowongan Kerja Terbaru 2021 Seluruh Indonesia Kompaskerja |
Link Download Contoh Surat Pernyataan Cpns 2021 Pdf 21 Kementerian Apa Itu Surat Pernyataan 13 Poin
Link Download Contoh Surat Pernyataan Cpns 2021 Pdf 21 Kementerian Apa Itu Surat Pernyataan 13 Poin |
| Lihat Link Download Contoh Surat Pernyataan Cpns 2021 Pdf 21 Kementerian |

Download Contoh Surat Lamaran Dan Surat Pernyataan 13 Poin Cpns Kemenkumham Sumsel Apa Itu Surat Pernyataan 13 Poin
Download Contoh Surat Lamaran Dan Surat Pernyataan 13 Poin Cpns Kemenkumham Sumsel Apa Itu Surat Pernyataan 13 Poin |
| Lihat Download Contoh Surat Lamaran Dan Surat Pernyataan 13 Poin Cpns Kemenkumham Sumsel |
Contoh Surat Lamaran Dan Surat Pernyataan 13 Poin Cpns Dan Pppk 2021 Kemenkumham Ini Link Download Pdf Nya Jurnal Medan Apa Itu Surat Pernyataan 13 Poin
Contoh Surat Lamaran Dan Surat Pernyataan 13 Poin Cpns Dan Pppk 2021 Kemenkumham Ini Link Download Pdf Nya Jurnal Medan Apa Itu Surat Pernyataan 13 Poin |
| Lihat Contoh Surat Lamaran Dan Surat Pernyataan 13 Poin Cpns Dan Pppk 2021 Kemenkumham Ini Link Download Pdf Nya Jurnal Medan |

Informasi Surat Pernyataan Bkpsdm Denpasarkota Go Id Apa Itu Surat Pernyataan 13 Poin
Informasi Surat Pernyataan Bkpsdm Denpasarkota Go Id Apa Itu Surat Pernyataan 13 Poin |
| Lihat Informasi Surat Pernyataan Bkpsdm Denpasarkota Go Id |

Contoh Surat Pernyataan Cpns Kemenkumham 2019 Sma Smk D3 S1 Apa Itu Surat Pernyataan 13 Poin
Contoh Surat Pernyataan Cpns Kemenkumham 2019 Sma Smk D3 S1 Apa Itu Surat Pernyataan 13 Poin |
| Lihat Contoh Surat Pernyataan Cpns Kemenkumham 2019 Sma Smk D3 S1 |

Contoh Surat Pernyataan Cpns 2019 Kemenkumham 13 Poin Harus Lengkap Ini Draft Bisa Di Copy Paste Timur Apa Itu Surat Pernyataan 13 Poin
Contoh Surat Pernyataan Cpns 2019 Kemenkumham 13 Poin Harus Lengkap Ini Draft Bisa Di Copy Paste Timur Apa Itu Surat Pernyataan 13 Poin |
| Lihat Contoh Surat Pernyataan Cpns 2019 Kemenkumham 13 Poin Harus Lengkap Ini Draft Bisa Di Copy Paste Timur |

Format Surat Pernyataan Cpns 2021 Di Kemenkumham Hingga Kemenhub Apa Itu Surat Pernyataan 13 Poin
Format Surat Pernyataan Cpns 2021 Di Kemenkumham Hingga Kemenhub Apa Itu Surat Pernyataan 13 Poin |
| Lihat Format Surat Pernyataan Cpns 2021 Di Kemenkumham Hingga Kemenhub |

Contoh Surat Pernyataan 13 Poin Apa Itu Surat Pernyataan 13 Poin
Contoh Surat Pernyataan 13 Poin Apa Itu Surat Pernyataan 13 Poin |
| Lihat Contoh Surat Pernyataan 13 Poin |

Contoh Surat Pernyataan Cpns Kemenkumham 2019 Berikut Draft Penulisannya News Mobile Apa Itu Surat Pernyataan 13 Poin
Contoh Surat Pernyataan Cpns Kemenkumham 2019 Berikut Draft Penulisannya News Mobile Apa Itu Surat Pernyataan 13 Poin |
| Lihat Contoh Surat Pernyataan Cpns Kemenkumham 2019 Berikut Draft Penulisannya News Mobile |
Sekian Artikel tentang apa itu surat pernyataan 13 poin, Download contoh surat lamaran dan surat pernyataan 13 poin cpns kemenkumham tribun sumsel contoh surat lamaran dan surat pernyataan 13 poin cpns dan pppk 2021 kemenkumham ini link download pdf nya jurnal medan format surat lamaran cpns kemenkumham 2021 surat pernyataan 13 poin kemenkumham 2021 tribun pontianak lowongan kerja terbaru 2021 seluruh indonesia kompaskerja contoh format surat pernyataan cpns kementerian hukum dan ham tahun 2019 rekrutmen lowongan kerja cpns bumn bulan september 2021 lowongan kerja terbaru 2021 seluruh indonesia kompaskerja format surat pernyataan cpns 2021 di kemenkumham hingga kemenhub contoh surat pernyataan cpns kementerian hukum dan ham tahun 2021 rekrutmen lowongan kerja cpns bumn bulan september 2021, semoga memberi solusi.
Posting Komentar
Posting Komentar